Gebruik van cholesterolverlagende medicatie na PCI in Nederland
Uit dit onderzoek blijkt dat de therapietrouwheid voor cholesterolremmende medicatie tijdens het eerste jaar na een electieve PCI ongeveer 72% is. Na een acute PCI is dit 75%. Bij vrouwen en oudere patiënten worden lagere percentages gezien. De analyse is onderdeel van een kwaliteitsproject, dat was uitgevoerd binnen de registratiecommissie PCI van de Nederlandse Hart Registratie (NHR), in samenwerking met Zorgverzekeraars Nederland en Vektis.
M. Timmermans, P. Witvliet, J. van Erkelens, J. Reitsma, P. Kamphuisen, C. Camaro, P. Danse, K. Arkenbout on behalf of the PCI registration committee of the Netherlands Heart Registration
Achtergrond
Cholesterolverlagende medicatie vermindert het risico op toekomstige cardiovasculaire gebeurtenissen en mortaliteit, maar de therapietrouw is vaak teleurstellend. Deze studie evalueert de therapietrouw van cholesterolverlagende medicatie en de subtypen ervan gedurende het eerste jaar na acute en electieve percutane coronaire interventie (PCI) in Nederland.
Methode
Deze retrospectieve cohortstudie maakte gebruik van gegevens uit een landelijke verzekeringsdatabase beheerd door Vektis. Deze database bevat alle medische declaraties die door Nederlandse zorgverzekeraars worden vergoed. We includeerden 97.176 patiënten die een acute of electieve PCI ondergingen in 2018-2020. Therapietrouwheid werd gedefinieerd als een medication possession rate van ≥80%.
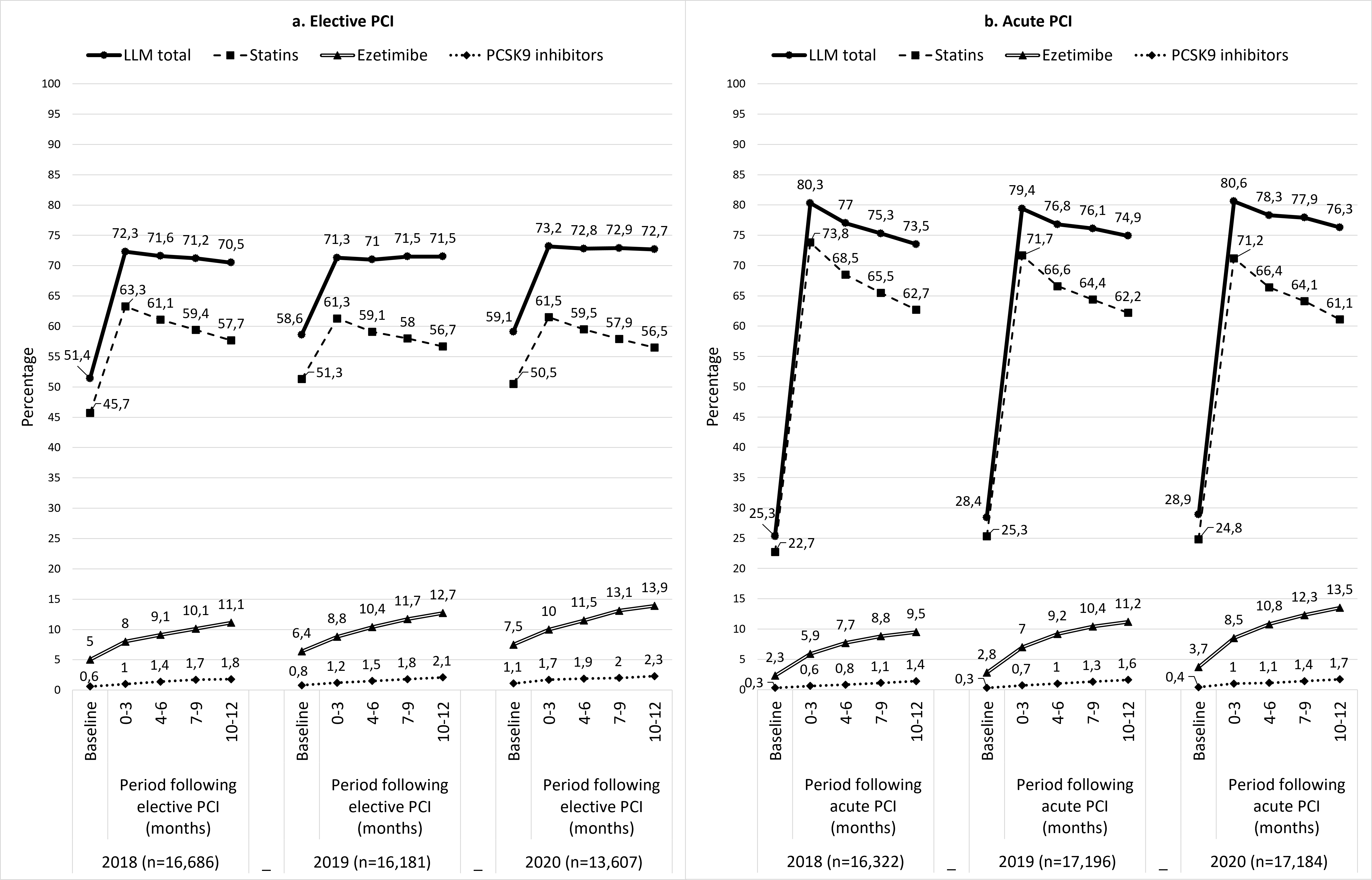
Resultaten
De therapietrouw in de eerste 3 maanden na electieve PCI varieerde van 71-73% en bleef stabiel gedurende het jaar na PCI. Voor acute PCI was de therapietrouw in de eerste 3 maanden aanvankelijk hoger (79-81%) maar daalde naar 74-76% gedurende het jaar na PCI. Tijdens het jaar na PCI namen de therapietrouwpercentages voor ezetimibe en proproteïneconvertase subtilisine/kexine type 9 (PCSK9)-remmers geleidelijk toe tot 13 respectievelijk 2%, terwijl de therapietrouw voor statines afnam (figuur 1). Voor statine-subtypen steeg de therapietrouw voor rosuvastatine ten koste van simvastatine, terwijl de therapietrouw voor atorvastatine en andere statines relatief stabiel bleef. Lagere therapietrouwpercentages werden waargenomen bij vrouwen en patiënten ≥80 jaar vergeleken met mannen en jongere patiënten.
Conclusie
De algehele therapietrouw voor cholesterolverlagende medicatie tijdens het jaar na electieve PCI was 71-73%, voor acute PCI 74-76%. Lagere percentages werden geobserveerd bij vrouwen en ouderen. Therapietrouwheid voor ezetimibe en PSCK9 remmers nam toe gedurende het jaar, terwijl het gebruik van statines afnam.

Figuur 1. Therapietrouw voor cholesterolverlagende medicatie gedurende 1 jaar na electieve en acute PCI.