Overleving en doodsoorzaken na hartinterventies: real‑world data uit Nederland
Hartoperaties en andere hartinterventies worden in Nederland veel uitgevoerd, maar er is nog weinig bekend over hoe patiënten het op de langere termijn doen en waaraan zij uiteindelijk overlijden. In dit onderzoek is gekeken naar sterftecijfers en doodsoorzaken tot vijf jaar na verschillende grote hartingrepen, op basis van landelijke gegevens uit 2016–2019.
L. Derks, M.M. Roefs, G.J. van Steenbergen, S. Houterman, D. van Veghel.
Achtergrond
Hart- en vaatziekten blijven een belangrijke doodsoorzaak in Europa en Nederland, al is de sterfte de afgelopen jaren gedaald door betere behandelingen en kwaliteitsverbetering in de zorg. Tegelijk is in de dagelijkse praktijk weinig bekend over de specifieke doodsoorzaken na hartinterventies, waardoor onduidelijk blijft of sterfte samenhangt met de hartaandoening, de ingreep of andere gezondheidsproblemen. Landelijke real‑world data kunnen helpen dit beter te begrijpen en zo klinische besluitvorming en benchmarking verder te ondersteunen.
Methode
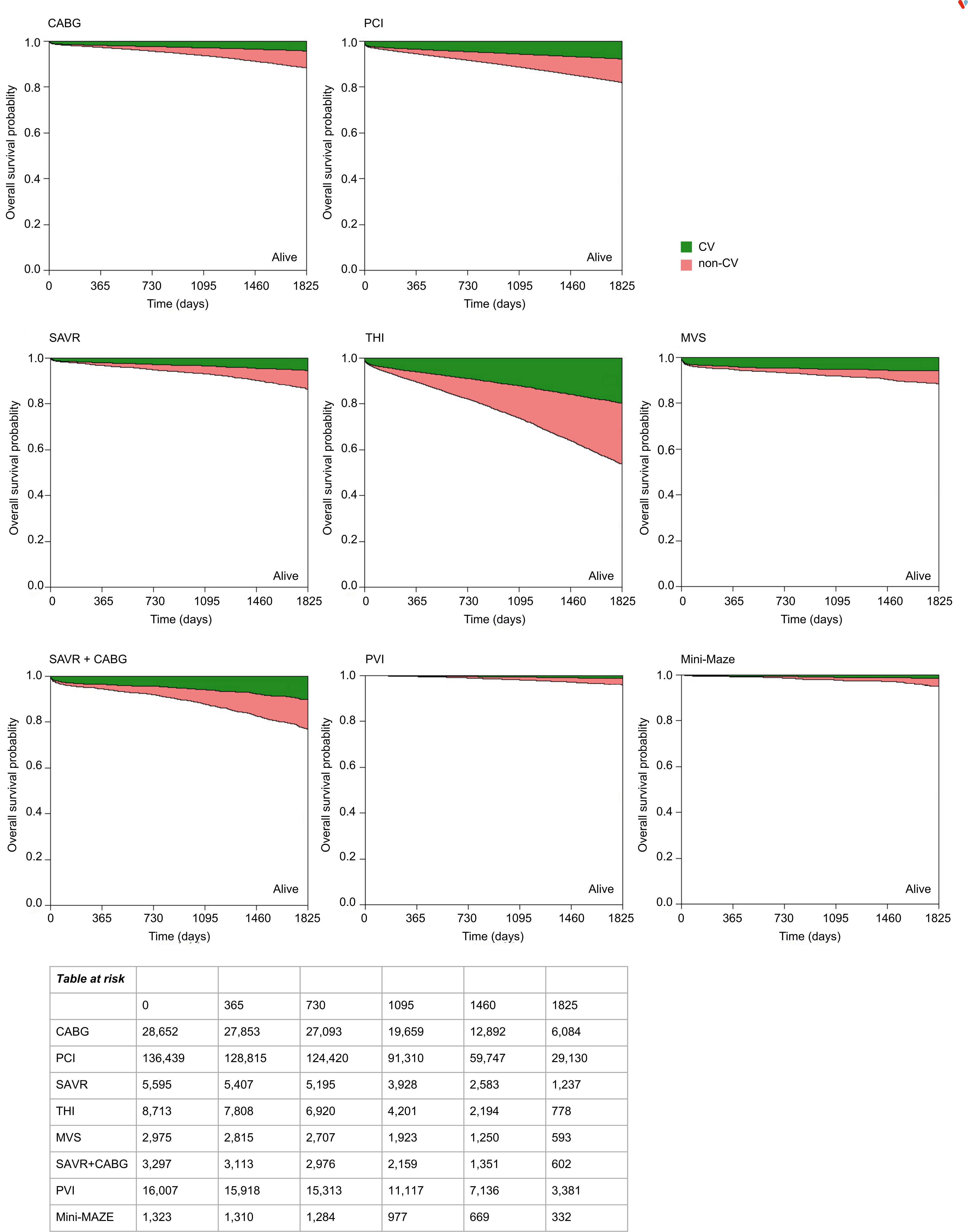
De onderzoekers analyseerden ruim 200.000 ingrepen uit de periode 2016-2019, waaronder bypassoperaties, dotterbehandelingen, hartklepoperaties en hartritmecorrecties. Van alle patiënten werd nagegaan of zij binnen vijf jaar overleden waren, en zo ja, wat de oorzaak was. Gegevens uit het landelijke zorgdeclaratieregister (Vektis) werd hiervoor gekoppeld aan het doodsoorzaken register van CBS. De doodsoorzaken werden ingedeeld in cardiovasculaire oorzaken (zoals een hartinfarct of hartfalen) en niet-cardiovasculaire oorzaken (zoals kanker, infecties of longziekten).
Resultaten
In de vijf jaar na de ingreep overleed 13,7% van de patiënten. In de eerste periode na de operatie waren hart- en vaatziekten (cardiovasculair) de belangrijkste doodsoorzaak. Maar naarmate de tijd verstreek, nam het aandeel overlijdens door andere oorzaken duidelijk toe. Na twee jaar was al bijna de helft van de sterfgevallen niet meer cardiovasculair. Over de hele periode van vijf jaar ging het zelfs om ruim 54% van alle overlijdens.
Discussie
Deze verschuiving laat zien dat patiënten na een hartingreep niet alleen kwetsbaar blijven voor hartproblemen, maar ook voor andere gezondheidsproblemen. Dat benadrukt het belang van brede, langdurige nazorg en aandacht voor de algehele gezondheid van deze patiëntengroep.

Figuur 1. Overlevingscurves en tabellen at risk tot vijf jaar na een hartinterventie, uitgesplitst naar het aandeel cardiovasculaire (CV) en niet‑CV doodsoorzaken.
CV cardiovasculair, CABG coronaire bypassoperatie, PCI percutane coronaire interventie, SAVR chirurgische aortaklepvervanging, THI transkatheter hartklepinterventie, MVS mitralisklepchirurgie, PVI pulmonale‑vene‑isolatie, mini‑MAZE minimaal invasieve maze‑procedure